Menú
Feedback
Tutoriales
Visión de conjunto de Pagos
¿Cómo se hace el cálculo del pago en plazos con interés compuesto?
1 min de lectura

Hay dos configuraciones posibles de cobranza de pago en plazos con interés compuesto:

  • Cobranza al inicio del periodo;
  • Cobranza al fin del periodo.

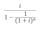
Inicio del periodo

La cobranza al inicio del periodo se calcula como sigue:

  1. i = Tasa de Intereses
  2. n = Número de Cuotas
  3. PV = Valor Presente (valor total de la compra sin intereses)
  4. Cuota =

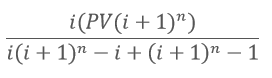
Fin del periodo

La cobranza al fin del periodo se calcula como sigue:

  1. i = Tasa de Intereses
  2. n = Número de Cuotas
  3. PV = Valor Presente (valor total da compra sin intereses)
  4. Multiplicador Cash Flow =
  5. Cuota = PV x Multiplicador Cash Flow

Ejemplos

Inicio del Periodo

  1. i = 1%
  2. n = 12
  3. PV = 1000

Fin del Periodo

  1. i = 1%
  2. n = 12
  3. PV = 1000
Contribuidores
2
Photo of the contributor
Photo of the contributor
+ 2 contributors
¿Te ha parecido útil?
No
Sugerir cambios (GitHub)
¿Cómo añadir el certificado PCI SSC a mi tienda?
« Anterior
Payment Provider Protocol
Siguiente »
Contribuidores
2
Photo of the contributor
Photo of the contributor
+ 2 contributors
En esta página
¿Tienes otras preguntas?
Pregunta a la comunidad
Encuentra soluciones y comparte ideas en VTEX Community
Únete a nuestra comunidad
Solicita soporte a VTEX
Recibe asistencia personalizada de nuestros especialistas
Abre un ticket de soporte
GitHubDeveloper PortalComunidadFeedback